EHA 2023丨竺晓凡教授:潜心聚力儿童少见难治血液病 4项研究花落EHA

作者:肿瘤瞭望   日期:2023/6/28 16:43:44  浏览量:11062

肿瘤瞭望版权所有,谢绝任何形式转载,侵犯版权者必予法律追究。

2023年6月8~11日,第28届欧洲血液学年会(EHA)于德国法兰克福隆重召开。中国医学科学院血液病医院儿童血液病诊疗中心的竺晓凡教授团队共有4篇摘要在此次EHA会议上展示,分别介绍了CCLG-ALL2008方案治疗的复发ALL中国儿童患者的预后影响因素、贝林妥欧单抗14天联合化疗可使B-ALL儿童患者的MRD转阴、转录组学特征有助于改善儿童KMT2A-r AML的预后预测以及海曲泊帕联合CSA可有效治疗儿童NSAA。为了深入了解上述研究,《肿瘤瞭望》特邀竺晓凡教授对上述研究进行解读,现整理如下。

编者按:2023年6月8~11日,第28届欧洲血液学年会(EHA)于德国法兰克福隆重召开。中国医学科学院血液病医院儿童血液病诊疗中心的竺晓凡教授团队共有4篇摘要在此次EHA会议上展示,分别介绍了CCLG-ALL2008方案治疗的复发ALL中国儿童患者的预后影响因素、贝林妥欧单抗14天联合化疗可使B-ALL儿童患者的MRD转阴、转录组学特征有助于改善儿童KMT2A-r AML的预后预测以及海曲泊帕联合CSA可有效治疗儿童NSAA。为了深入了解上述研究,《肿瘤瞭望》特邀竺晓凡教授对上述研究进行解读,现整理如下。
 
01
Abstract:P391
PROGNOSTIC ANALYSIS OF RELAPSED PEDIATRIC ACUTE LYMPHOBLASTIC LEUKEMIA TREATED BY CCLG-ALL2008 PROTOCOL IN CHINA
CCLG-ALL2008方案治疗的复发ALL中国儿童患者的预后分析
 
研究背景
 
近年急性淋巴细胞白血病(ALL)儿童患者的生存率虽然不断改善,但仍有20%患者疾病复发。以下研究旨在评估复发ALL儿童患者的临床特征,为治疗方案优化提供线索。
 
研究方法
 
收集2008年4月至2015年4月期间CCLG-ALL2008方案治疗的939例ALL儿童患者数据,对其中217例复发ALL儿童患者的临床特征进行回顾性分析。
 
研究结果
 
939例患者中,906例(96.5%)诱导治疗后达到首次完全缓解(CR1),217例(24%)至2023年2月复发,复发患者的5年总生存(OS)率23.0%。复发部位包括单纯髓外复发(7%)、单纯骨髓复发(83%)和联合复发(10%),5年OS率分别为79.4%、17.4%和28.6%(p<0.05)。极早期(42%)、早期(31%)和晚期(27%)复发患者的5年OS率分别为8.4%、15.9%和26.7%(p<0.05)。根据UK-ALLR3,复发患者分为标危(4.2%)、中危(28.1%)和高危(67.7%),5年OS率分别为100%、41.0%和10.6%(p<0.05)。134例患者(61.8%)接受了再诱导治疗。二次CR(CR2)率和CR2后的5年OS率分别为64.9%和53.5%。再诱导治疗的81例(55.1%)高危患者中,造血干细胞移植(HSCT)患者的5年OS率46.3%,未进行HSCT患者的5年OS率6.1%(p<0.05)。
 
 
研究结论
 
儿童ALL复发主要发生于极早期,多为单纯骨髓复发,生存率较差。诊断时中枢神经系统受累和免疫表型对复发患者的中位生存无显著影响。复发后HSCT能改善高危患者生存率,但细胞免疫治疗等新治疗策略的应用是否会进一步改善结果有待进一步证实。
 
02
Abstract:P1402
INFUSION OF 14 DAYS BLINATUNOMAB IN COMBINATION WITH CHEMOTHERAPY FOR 46-DAY MRD+PEDIATRIC B-ALL PATIENTS IN INTERMEDIATE/HIGH-RISK GROUP RESULTS IN MRD CONVERSION
46天MRD+IR/HR B-ALL儿童患者blin-14联合化疗治疗可使MRD转阴
 
研究背景
 
贝林妥欧单抗(blin)可有效治疗有可测量残留疾病(MRD)的成人B-ALL患者,但缺少有关MRD+儿童的疗效数据。传统单疗程blin持时4周,ICANS风险很高。以下这项探索性研究中,blin治疗14天(blin-14)并联合ALL化疗治疗第46天MRD+(≥0.01%)儿童患者,评估该治疗的早期疗效和安全性。
 
研究方法
 
这是一项单臂开放式单中心研究,拟评估blin-14治疗中/高危(IR/HR)、46天时仍MRD+、新诊断B-ALL儿童患者的疗效。诱导化疗方案(VDLP+CAM)计划先于blin输注,根据治疗方案允许强化治疗(CAMPLUS)。Blin以15μg/m2/天(体重≤45kg)或28μg/天(体重>45kg)持续静脉输注14天,输注结束后继续化疗。签署知情同意。主要终点是诱导/强化治疗后blin-14治疗后的MRD缓解情况。关键次要终点为安全性、耐受性、2年无事件生存(EFS)和总生存(OS)。MRD评估采用实时定量PCR和流式细胞术,毒性采用CTCAE 5.0分级。
 
研究结果
 
2022年5月至2022年11月,共9例B-ALL儿童患者,中位年龄6(1-15)岁。治疗前MRD中位百分比0.09%(0.03-2.50%)。输注结束后7-10天,所有(100%)患者MRD阴性,实现分子CR(mCR)。8例(89%)患者发生不良事件(AEs),其中1例为3级AE,未观察到与blin相关的≥4级AEs。7例(78%)患者发生CRS,其中5例(56%)为1级CRS,2例(22%)为2级CRS,未发生≥3级CRS。1例(11%)患者发生周围感觉神经病伴3级ICANS。CRS最常见表现为发热,多为>38.3℃的中等热,从输注blin至发生CRS的中位时间1.25(1-4)天,中位缓解时间2天。CRS和ICANS的管理包括blin输注前和发热≥37.3℃时进行早期干预。Blin输注前后IL-6和IL-10变化在图1A和1B中选择性显示,二种细胞因子峰值均见于CRS发生时。输注blin后外周血B细胞快速消失,同时T细胞也快速下降,随后这些细胞数量反弹并超过基线水平,4例可评估患者均如是。
 
 
研究结论
 
这项探索性研究的初始数据表明,第46天MRD+的IR/HR B-ALL儿童患者采用blin-14联合化疗治疗显示出较好的临床活性和可管理的安全性。T细胞快速下降后旋即快速扩增,并持续较长时间保持相对较高水平,显示出较好疗效。研究仍在随访中。
 
03
Abstract:P511
INTEGRATION OF TRANSCRIPTOMIC FEATURES IMPROVES PROGNOSIS PREDICTION OF PEDIATRIC ACUTE MYELOID LEUKEMIA WITH KMT2A REARRANGEMENTS
转录组学可改善KMT2A-r AML儿童患者的预后预测
 
研究背景
 
2022 WHO髓系肿瘤分类中KMT2A重排急性髓系白血病(KMT2A-r AML)的特征是高复发率和预后极差。目前缺少KMT2A-r AML儿童患者的有效预测因素以及更为有效的预后系统。以下研究评估了儿童KMT2A-r AML的转录组学特征,并建立了新的预后模型进行风险分层,为治疗决定提供证据。
 
研究方法
 
从TARGET项目(https://ocg.cancer.gov/programs/target/datamatrix)收集1997年-2016年期间确诊KMT2A-r AML儿童患者的临床和RNA测序数据,只对>30%标本表达的基因(RPKM>1)进行分析。单因素Cox回归鉴定与无事件生存(EFS)相关基因,根据基因表达运用LASSO算法建立预测模型,多变量Cox回归验证风险因素的独立预测作用。
 
研究结果
 
共纳入351例KMT2A-r AML儿童患者,根据治疗方案分为训练集(n=229)和验证集(n=122)。训练集中,通过单因素Cox分析筛选与EFS相关候选基因,共2043个p值<0.05的基因纳入LASSO算法构建预后模型(pKMT2A7评分),最终纳入7个基因。
 
训练集分为2组,G1(n=110)和G2(n=119)组患者预后不同。与G2组相比,pKMT2A7评分<1.108的G1组患者5年OS率(69.6%±4.7%和38.4%±4.6%,p<0.001)和EFS率(51.7%±4.8%和16.1%±3.4%,p<0.001)更优。验证集患者也分为G1(n=66)和G2(n=56)组,G1组的5年OS率(64.6%±6.0%和43.4%±7.2%,p=0.024)和EFS率(43.5%±6.2%和22.4%±5.7%,p=0.014)优于G2组。
 
对G1和G2组的差异表达基因(DEGs)进行分析,G2组1127个基因上调,1219个基因下调,上调基因中与核苷酸代谢和细胞活化相关的基因最多,有意义的信号途径包括DNA复制、细胞周期和氧化磷酸化。G1组的临床特征包括年龄较小(p=0.002)、更高KMT2A::MLLT3融合基因比例(p=0.03)。
 
将pKMT2A7评分纳入单因素和多因素Cox分析,显示高pKMT2A7评分[HROS=2.32(95%CI 1.67-3.23),p<0.001;HREFS=2.06(95%CI 1.54-2.76),p<0.001]、诊断时年龄[HROS=1.81(95%CI 1.27-2.59),p=0.001;HREFS=1.45(95%CI 1.07-1.97),p=0.017]和配对基因[HROS=1.55(95%CI 1.04-2.30),p=0.032;HREFS=1.43(95%CI 1.04-1.96),p=0.027]是OS和EFS独立风险因素,并将其纳入EFS预后模型。患者分为低危(LR)、中危(IR)和高危(HR),5年OS率分别为79.8%±5.8%、60.7%±4.0%和35.0%±4.6%(p<0.001),5年EFS率分别为58.8%±6.9%、40.2%±4.0%和16.0%±3.1%(p<0.001)。
 
 
研究结论
 
转录组学水平上,儿童KMT2A-r AML是一组异质性疾病,转录组学特征可以改善预后预测。该风险分层可更好的区分不同风险患者,对临床有帮助,同时也为进一步研究儿童KMT2A-r AML的病理生理学奠定了基础。
 
04
Abstract:P792
CLINICAL STUDY OF HETROMBOPAG COMBINED WITH CYCLOSPORINE A IN THE TREATMENT OF CHILDREN WITH NON-SEVERE APLASTIC ANEMIA
海曲泊帕联CSA可有效治疗儿童NSAA
 
研究背景
 
非重型再生障碍性贫血(NSAA)是一组少见的异质性的骨髓衰竭性疾病,其特征是中等程度血细胞减少,未达重型再生障碍性贫血(SAA)传统标准,目前缺少儿童NSAA的标准治疗指南。由于儿童活动较多,导致血小板&lt;30×109/L患者出血风险明显增加,需要新的方法进行治疗。海曲泊帕是中国制造的aTPO受体激动剂,可有效治疗成人SAA。以下研究评估了海曲泊帕联合环孢素A(CSA)治疗儿童NSAA的疗效。

研究方法
 
分析2021年9月至2022年9月根据Camitta标准确诊的16例中国NSAA儿童患者数据。海曲泊帕:2-5岁,0.25mg/kg/d;6-11岁,7.5mg/d;12岁及以上,15mg QD;CSA,5-10mg/kg/d。疗效定义如下:①完全缓解(CR):血红蛋白(HGB)>100g/L,血小板(PLT)>100×109/L,中性粒细胞(ANC)>1.5×109/L;②良好部分缓解(GPR):脱离输注血制品,HGB>100g/L,PLT>50×109/L,ANC>1.0×109/L;③部分缓解(PR):脱离输注血制品,血常规未达GPR标准;④未缓解(NR):治疗后无改善。总缓解率(ORR)=CR+GPR+PR。
 
研究结果
 
16例患者中位年龄7.5(3-12)岁,11例男性,5例女性,8例输血依赖NSAA(TD-NSAA)。中位疾病持续时间3.37(0.07-86.57)个月,中位PLT 19(7-42)×109/L,中位HGB 83(46-119)g/L,中位ANC 0.83(0.04-2.28)×109/L。海曲泊帕治疗前,3例患者CSA治疗,2例患者传统中药治疗,5例患者CSA联合传统中药治疗,6例患者观察中。
 
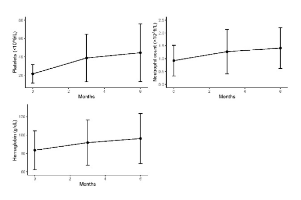
海曲泊帕联合CSA治疗3个月后,15例患者接受随访,ORR 73.3%(11/15),有效的中位PLT和HGB分别为35(22-108)×109/L和92(52-129)g/L,中位ANC 1(0.59-2.85)×109/L。治疗6个月后,15例患者随访,ORR为66.7%(10/15),有效的中位PLT和HGB分别为50(23-112)×109/L和104.5(72-135)g/L,中位ANC 1.56(0.67-3.4)×109/L,如图所示。海曲泊帕治疗6个月后,7/8例TD-NSAA患者随访,5例脱离输血,ORR 71.4%。
 
 
研究结论
 
海曲泊帕联合CSA可有效治疗NSAA儿童患者,对TD-NSAA儿童患者也有疗效。
 
研究者说
 
竺晓凡教授:这次EHA会议上报告的4项研究内容都是针对临床实践中儿童血液病中的难点问题,通过对已有数据的分析,建立新的预后模型,指导治疗决策,评估新的治疗手段,以期改善治疗结果。
 
P391研究通过对复发ALL儿童患者的临床特征的分析,发现儿童ALL复发主要发生于极早期,多为单纯骨髓复发,生存差,HSCT能改善复发后高危患者生存,这些特征为临床制定随访方案以及复发后的治疗方案选择提供了依据,为改善患者生存、进行新的治疗手段的探索奠定了基础。
 
P511研究在转录组学层面上探索了KMT2A r-AML儿童患者新的预后因素,通过对DEG的分析,建立了含有7个基因的pKMT2A7评分系统,并据此将KMT2A r-AML儿童患者划分不同风险组,不但改善了对患者预后的评估,同时有助于从蛋白和基因水平上进一步明确并理解KMT2A r-AML的特征,为更好的治疗KMT2A r-AML儿童患者提供新的线索。
 
P1402研究探索了贝林妥欧单抗的新用法,旨在降低副作用同时又能保证疗效。早期疗效恰如预期,虽然减少了贝林妥欧单抗的应用时长,但依然能够使得所有中高危46天时仍MRD+的新诊断的B-ALL儿童患者转阴,而且不良反应很好管理。长期疗效有待进一步随访。
 
P792研究探索了aTPO受体激动剂海曲泊帕与CSA联合治疗NSAA儿童患者的作用,旨在更好的适应儿童特点,尽量减少疾病对儿童患者正常生活的影响。结果显示该治疗模式能显著改善儿童患者的PLT、HGB和ANC,而且起效较快,持续时间亦长,对输血依赖NSAA患者也显示出较好疗效,使得大部分患者脱离输血,因此海曲泊帕联合CSA治疗值得进一步探索。
 
总之,以上四项研究是中国医学科学院血液病医院儿童血液病诊疗中心潜心追求的结晶,是为改善少见疾病和难治疾病预后预测和治疗的多年努力结果,为临床实践以及开展更大规模的研究工作提供了初步证据。
 
竺晓凡教授
主任医师,博士研究生导师
中国医学科学院血液病医院(中国医学科学院血液学研究所)儿童血液病诊疗中心主任
国家卫生健康委儿童白血病专家组副主任委员
中国抗癌协会小儿血液肿瘤专业委员会候任主任委员
天津市医学会儿科分会血液学组组长
天津市小儿肿瘤专业委员会副主委
《中华儿科杂志》、《中华血液学杂志》等杂志编委
天津市有突出贡献专家
曾获国家自然科学二等奖、宋庆龄儿科医学奖、天津市自然科学一等奖等奖项

本内容仅供医学专业人士参考


白血病

分享到: 更多